新型混合模式断裂加载框架Mixed-Mode Bond Fracture Solution,精准捕捉界面失效全过程
研究背景与特点
在航空航天、汽车、微电子、生物医学等关键领域,材料界面是连接不同组件的核心纽带,其性能直接决定了整个系统的可靠性、耐久性和安全性。例如,在航空发动机中,涂层与基体的界面结合力决定了叶片的抗高温腐蚀能力;在微电子芯片中,金属互连层与介质层的界面性能影响着器件的电迁移寿命和信号传输效率。
界面分层是导致结构失效的主要原因之一。这种失效往往是突发性的,难以预测,可能引发灾难性后果。例如,在复合材料结构中,层间分层会导致结构刚度和强度急剧下降;在微电子封装中,界面开裂会引起应力集中,最终导致芯片失效。此外,界面在热循环、机械振动、湿度变化等恶劣环境下,其性能会持续退化,进一步加剧失效风险。
解决方案:Psylotech 混合型粘结断裂试验方案 Mixed-Mode Bond Fracture Solution
· 设计理念:混合型粘结断裂试验方案 Mixed-Mode Bond Fracture Solution,通过集成高精度微型万能试验机(μTS)和先进的数字图像相关法(DIC),实现了对界面的混合模式加载和全场力学行为的精确表征。

· 装置组成:该框架使用Psylotech微型万能试验机的特殊双驱动器版本,可对双悬臂梁试样施加任意模式混合载荷(详见示意图)。每个横梁端部均可测量作用力,并通过数字图像相关法(DIC)测量梁端延伸的散斑标记处的挠度与旋转角度。粘结模拟解决方案包含测试规程与数据分析软件。

· 核心优势:基于μTS(介观尺度原位加载系统)的高精度驱动系统,能够提供纳米级的位移控制和亚毫牛级的力分辨率,确保加载的精确性和稳定性。能够精确调控模式混合角(从-90°到+90°),并可在不同分离速率下进行实验,能够直接提取模式I和模式II的牵引分离定律。相较于其他凝聚区方法,这一关键优势意味着牵引力与位移之间的关系不受任何预设形状的限制。相反,该方法直接测量特定粘结系统对应的非线性断裂过程区域,并将其应用于有限元分析。
混合模式断裂研究团队与背景
· 团队领导:本项研究由德克萨斯大学奥斯汀分校(UT Austin)的Kenneth M. Liechti教授领导。Liechti教授是国际知名的断裂力学与界面力学专家,事断裂研究逾40载,现为美国机械工程师学会(ASME)、美国粘结学会(AAM)、表面工程学会(SEM)及美国材料学会(AS)会士,并获选为美国航空航天学会(AIAA)准会士。其代表性奖项包括2015年粘结学会/3M粘结科学卓越奖,以及2017年实验力学学会授予的Murray讲座荣誉。

· 团队背景:研究团队隶属于UT Austin的固体、结构与材料力学中心 (CMSSM),该中心汇聚了顶尖的力学专家,致力于固体力学、结构力学和先进材料的前沿研究,尤其在界面断裂、复合材料力学、微电子封装可靠性等领域成果卓著。
混合模式界面相互作用的测量研究
· 实验样品:采用硅/环氧树脂/硅层合梁结构,模拟微电子封装中的典型界面。
· 测量与控制:通过 DIC 测量位移(Δ 1 ,Δ 2 ,U 1 ,U 2 )和转角(θ 1 ,θ 2 ),测力传感器测载荷P1、P2,支持位移 / 旋转控制,采用径向加载路径(Δ 2 =kΔ 1 );

DIC测量位移与旋转示意图
· 测量技术:利用DIC(数字图像相关)技术,精确测量样品的全场位移场和旋转角度,具有非接触、高精度(分辨率可达纳米级别)、全场测量的优势,能够捕捉到裂纹尖端的细微变形,为分析界面断裂行为提供了关键数据。
· 研究变量:系统研究了5种不同的分离速率和5种不同的模式混合角对界面断裂行为的影响。
混合模式控制分析
研究核心基础:牵引 - 分离关系(Traction-Separation Relations)
· 定义:表征界面间相互作用的连续介质方法,描述界面上牵引力与分离量的关系,多为双线性形式,由刚度、强度、范围和断裂能参数化,且依赖于界面剪切 / 法向牵引力的比值,可直接或迭代提取。
· 研究意义:是内聚区建模(非线性断裂力学)的基础,能模拟预制裂纹的扩展,还可实现线弹性断裂力学无法完成的角部、孔洞、夹杂物处的裂纹萌生模拟,也是评估微电子封装可靠性的重要工具。
理论模型:线性相互作用模型 (Linear Interaction Model)
![]() | ![]() |
· 模型假设:假设界面的法向和剪切应力相互作用是线性的,即 σ_n = K_n * δ_n, σ_t = K_t * δ_t。
· 控制方程:基于梁理论和弹性地基模型,建立了法向和剪切载荷与位移的控制方程。
· 载荷-位移关系:通过实验数据拟合,分别推导法向、剪切方向的载荷 - 位移公式,发现界面刚度远低于环氧树脂本体,推测存在界面相区域。
结果数据
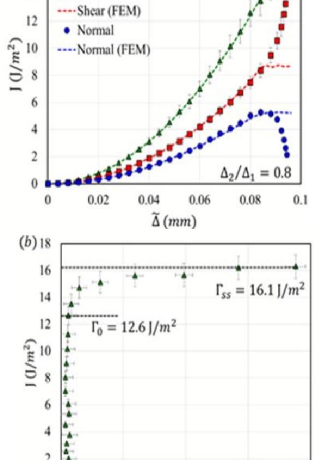
1、裂纹扩展阻力特性(65° 模式)
针对硅 / 环氧树脂界面,分析 J 积分与裂纹扩展的关系,得到核心规律:
· 初始裂纹尖端位移:通过实验测量和理论计算,获得了裂纹尖端的法向和剪切初始位移,并与线性相互作用模型的预测进行了对比。

初始裂纹尖端位移对比
· 裂纹扩展阻力:分析了总J积分、法向和剪切J积分分量随裂纹扩展的变化规律。总J积分呈现经典的上升并趋于稳定的响应,而法向和剪切分量则表现出更复杂的非稳态行为。

裂纹扩展阻力曲线
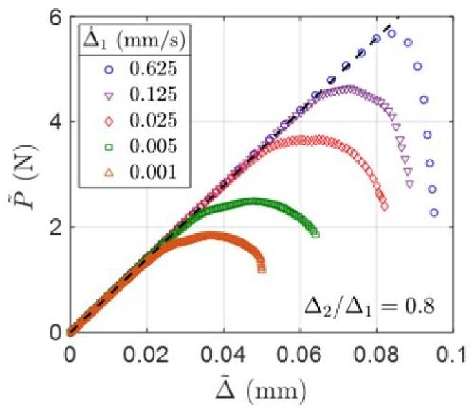
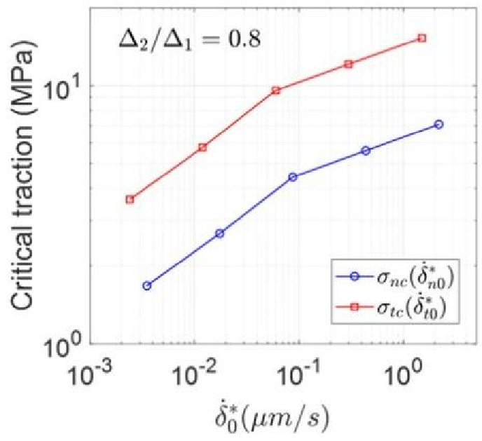
2、速率效应(65° 模式)
研究加载速率对界面力学性能的影响,核心结论:
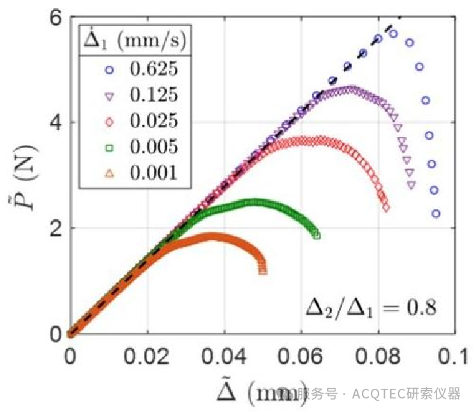
· 载荷-位移曲线:不同分离速率下的载荷-位移曲线显示,加载速率显著影响界面的承载能力。

不同速率下的载荷-位移曲线
· 速率依赖性:界面初始刚度与加载速率无关,但临界J积分(断裂韧性)和界面强度均随加载速率增加而显著提高。

临界J积分和强度随速率变化
· 结论:界面断裂行为具有明显的速率依赖性,在高速加载下,界面变得更加“坚韧”。
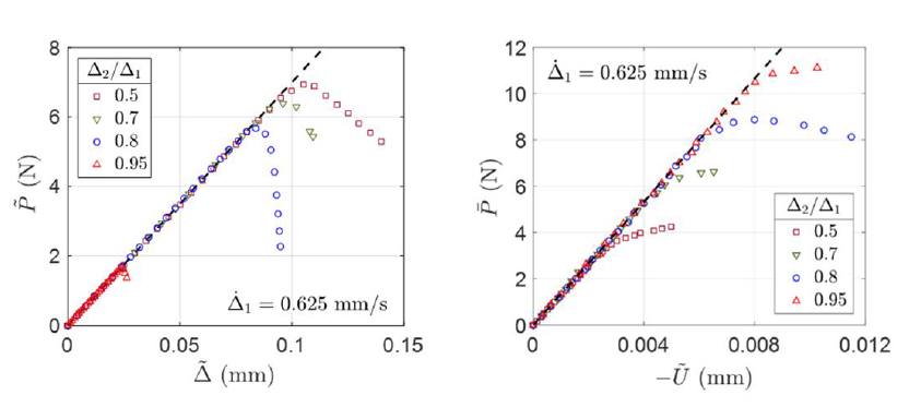
3、模式混合效应
· 模式混合的影响:不同模式混合角(位移比Δ2/Δ1表征)下的实验结果表明,界面的断裂韧性和强度随模式混合角的变化呈现出复杂的非单调行为。
· 刚度:随模式混合角呈现非单调变化,且与模式混合角无显著关联;
· 速率的普适性:加载速率的提升会使界面性能在所有模式混合角下均得到提高;
· 断裂阻力、临界 J 积分、强度:均随模式混合角的增大而提升。

不同模式混合角下载荷 - 位移响应

不同模式混合比下 J 积分 - 裂纹扩展量曲线

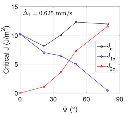
临界 J 积分随模式混合角变化规律

不同加载速率下临界 J 积分 - 模式混合角关系
结论与展望
1、实验装置的有效性:μTS特殊双驱动器版本框架能够精确、稳定地实现从纯I型到纯II型的全范围混合模式加载,并能有效研究不同分离速率下的界面断裂行为。
2、界面刚度特性:揭示了界面初始刚度的稳定性及界面过渡区的存在。
3、断裂参数的速率依赖性:明确了加载速率对界面断裂韧性和强度的提升作用。
4、断裂参数的模式混合依赖性:展示了模式混合角对断裂行为的复杂影响。
5、裂纹扩展行为:分析了总 J 积分和其分量在裂纹扩展过程中的不同演化规律。
About Psylotech
Psylotech提供激发模拟的仪器设备。µTS是一款专为介观尺度设计的微型通用载物架。通过高精度对称加载,µTS产生的平面外位移可忽略不计,确保显微镜下差分干涉对比成像始终清晰聚焦。该设备兼容光学显微镜、共聚焦显微镜、共聚焦拉曼显微镜,以及扫描电子显微镜和原子力显微镜。
µTS作为多功能运动控制平台,已在VISCA_bond混合模式断裂测试装置中实现应用。该装置采用聚合物专用测试系统,为聚合物模拟解决方案提供支持。
更多信息 More Information
Email: Info@acqtec.com or visit our Contact Us page to obtain a quotation.

